Architect's Log

I'm a Cloud Architect. I'm highly motivated to reduce toils with driving DevOps.

2011-07-01から1ヶ月間の記事一覧

1.2.1 計算の法則(その2)

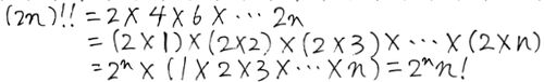
自然数の階乗 自然数の階乗とは、 1 = 1!, 1×2 = 2!, 1×2×3 = 3!…すなわち以下のように書く約束のことである。 1×2×3×…×n = n!特に、0! = 1とする。 偶数/奇数だけの掛け算 偶数だけ、あるいは奇数だけの掛け算をそれぞれ以下のように書く。 2×4×6×…×(2n - 2…

TechNet Edge メディア

ビデオ、スクリーンキャスト、ポッドキャスト、記事 | TechNet ビデオTechNet ビデオ のビデオ、スクリーンキャスト、ポッドキャスト、記事をご覧ください。 ...現在、「マイクロソフトでのソフトウェア脆弱性管理」と「Office 365 for Enterprise」が公開さ…

1.2.1 計算の法則(その1)

指数法則 指数演算には以下の指数法則が成り立つ。 特に以下を約束する。 パスカルの三角形 上記の法則を用いて、aとbの和の二乗を計算すると、 同様にして、三乗を求めると、 これを繰り返して、 これら一連の計算を二項展開といい、各項の係数を二項係数と…

Visual SourceSafe でプロジェクトの複数バージョンを管理する

VSSでプロジェクトの複数バージョンを管理する方法を以下のシナリオに沿って説明します。 方法 : プロジェクトの複数のバージョンを管理する製品の開発がマイルストーンの達成時に終了することは、ほとんどありません。開発チームは、製品の次のバージョンに…

Visual SourceSafeのラベルを使いこなす

私はプロジェクトのマイルストーン毎にラベルを貼ります。 方法 : 項目にラベルを付けるVisual SourceSafe エクスプローラでは、[ファイル] メニューの [ラベル] コマンドを使用して、ファイルまたはプロジェクトのバージョンにラベルを関連付けます。 ...ラ…

Visual SourceSafe 2005 更新プログラムで修正された問題の一覧

Visual SourceSafe 2005 更新プログラムで修正されるバグの一覧Microsoft Visual SourceSafe 2005 の更新プログラムをリリースしました。この資料は、Visual SourceSafe 2005 の更新プログラムで修正されるバグを一覧表示します。この資料では、Visual Sourc…

VSSオプション設定の[ローカルファイルの日付と時刻]のデフォルト値を[変更時刻]に設定する

VSSで気になるのは、メニューの[オプション] - [ローカルファイル] - [ローカルファイルの日付と時刻]のデフォルト値が[現在時刻]だということです。これでは取得する度にファイルのタイムスタンプが変わってしまいます。今回はこの問題を解決する方法を説明…

1.1.2 実数(その2)

循環節 繰り返される数の1つのまとまりを、循環節とよび、節の始まりと終わりの数の上に黒丸を打って、これを略記する。このブログでは黒丸の代わりに赤字で節を表すことにする。 例えば、 0.14285714285714…→ 0.142857 0.833333…→ 0.83 純循環小数 循環節…

Visual SourceSafeとDropboxで分散開発を実現する

開発拠点が複数に分かれているプロジェクトの課題としてソースコードのバージョン管理が挙げられます。今回はVSSとDropboxでこの問題を解決する方法を説明します。 なお、VSSは既にインストールされているものとして説明を進めます。 Dropboxのインストール …

WinMerge 日本語版 2.12.4+-jp-24が公開されています

WinMerge 日本語版 2.12.4+-jp-24が公開されています。 WinMerge 日本語版ファイルやフォルダの比較ができてマージもできる、WinDiffを使い易くしたようなソフトWinMergeの日本語版 GUIな CVS, Subversionクライアントのお供にでもどうぞ。 ...

1.1.2 実数(その1)

実数 実数は有理数と無理数から構成されている。 有理数 比で表せる数。 無理数 比で表せない数。

Paint.NETで画像をブログ用に加工する

Paint.NETで画像をブログ用に加工する方法を説明します。 ダウンロード Paint.NETはこちらからダウンロードできます。 Paint.NET - Free Software for Digital Photo EditingPaint.NET is free image and photo editing software for PCs that run Windows. …

「オイラーの贈物」エントリのまとめ

「オイラーの贈物」を学ぶエントリのまとめページです。随時更新します。 「オイラーの贈物」を学ぶ - プログラマーな日々 第1部 基礎理論 1章 パスカルの三角形 1.1 数の種類 - プログラマーな日々1.1.1 自然数と素数(その1) - プログラマーな日々1.1.…

1.1.1 自然数と素数(その2)

素数 素数は無限に存在するが、素数を順に生成する公式は発見されていない。 メルセンヌ数 「2のM乗 - 1」の形式をした素数をメルセンヌ数という。2008年09月06日現在、何番目か確定しているメルセンヌ数は(たったの!)39個しかない。また、相互間に未見…

PostgreSQLでASP.NET Dynamic Dataサイトを構築する

PostgreSQLでASP.NET Dynamic Dataサイトを構築するためにやったこと【ご注意:失敗に終わりました】 - プログラマーな日々PostgreSQLでASP.NET Dynamic Dataサイトを構築することを試みましたが、失敗に終わりました。誰かの役にたつかもしれないので、試行…

1.1.1 自然数と素数(その1)

エラトステネスの篩(ふるい) ある自然数Nまでのすべての素数を求めるには、 最小の素数2で割り切れる数、すなわち偶数を消去する。 3の倍数を消去する。 これを√Nまで繰り返し、順次割り切れる数を消していくと、最後に素数だけが残る。*1 偶素数 2は…

1.1 数の種類

数の種類。 複素数 実数と虚数を合わせた数を複素数といいます。 実数 有理数 m/nで表せる数。※ m: 整数、n: 自然数(正の整数) 無理数 循環しない無限小数。√2、πなど。 虚数

「オイラーの贈物」を学ぶ

オイラーの贈物―人類の至宝eiπ=-1を学ぶposted with ヨメレバ吉田 武 東海大学出版会 2010-01 Amazonで購入Kindle楽天ブックスで購入7netで購入hontoで購入e-honで購入 紀伊國屋書店で購入 丸善&ジュンク堂で購入 代数、幾何、解析。数学の多くの分野は唯一…

Process Explorer v15.0がリリースされました

SysinternalsのProcess Explorer v15.0がリリースされました。Process Explorer - 窓の杜ライブラリ現在動作しているプロセスの親子関係を階層表示できるタスクマネージャー。 ...

pgAdminでPostgreSQLのテーブル定義書を出力する

pgAdminはGUIのPostgreSQL管理ツールです。インストール手順は以下をご覧ください。 PostgreSQL用GUI管理ツールpgAdminを入れてみた - プログラマーな日々PostgreSQL用GUI管理ツールpgAdminを入れてみました。 ...pgAdminを使うと、HTML形式でPostgreSQLのテ…

「dotConnect for PostgreSQL」ではWindows アカウントの資格情報を認証に使用できない

PgSqlConnectionStringBuilderのメンバーに「IntegratedSecurity」あるいはそれに類するものがありませんでした。PgSqlConnectionStringBuilder Class MembersWindows アカウントの資格情報を認証に使用するときは、Npgsql を使用しましょう。 ダウンロード …

皆で1つの Excel を編集する便利な方法

皆で1つの Excel を編集する便利な方法/SharePoint で共有してみよう(1/4):企業のIT・経営・ビジネスをつなぐ情報サイト EnterpriseZine (EZ)社外秘などの機密情報の場合や、複数の人が頻繁に更新してバージョン管理が気になるファイルの場合は、もっと…

すぽると!マンデーフットボールSPおめでとう!なでしこJAPAN 世界一スペシャル!!

7/18 15:30〜 フジテレビにて。

書籍エントリのまとめ

システム開発 実践!ソフトウェアアーキテクチャ ~VisualStudioとASP.NETによる業務システム開発方法~ - プログラマーな日々素晴らしい内容です。.NETのアーキテクチャに特化した書籍で、実践的なソースコードが示されたものは他にはなかなかありません。 ...…

上流工程で成功する人、つまずく人

上流工程で成功する人、つまずく人 (技評SE新書)posted with ヨメレバ荒井 玲子 技術評論社 2009-01-24 Amazonで購入Kindle楽天ブックスで購入7netで購入hontoで購入e-honで購入 紀伊國屋書店で購入 丸善&ジュンク堂で購入 読了した。 この本から最も重要な…

「dotConnect for PostgreSQL」とNpgsqlとで接続文字列は異なる

はじめて知った。PostgreSQL connection strings - ConnectionStrings.com

MVCに追加する層の「サービス層」に代わる名前を考える

MVCにサービス層を追加することを推奨する意見が散見されます。テストが容易な MVC: テストが容易な ASP.NET MVC アプリケーションを構築する サービス層は、アプリケーションのドメイン モデルの最上部に位置し、アプリケーションに対して実行できる一連の…

はてなダイアリーのhttp記法でタイトルが表示されないときは

はてなダイアリーのhttp記法でタイトルが表示されないことがあります。 2011-07-15 - プログラマーな日々 こんな具合です。 そんなときは記事へのリンクをクリックしてから、URLをコピペし直してください。 ブログトップを最新記事に設定していると、起こり…

生中継!女子W杯決勝戦 日本×アメリカ

7/18(月) 早朝3:35〜 フジテレビにて。

LINQ to SQLでPostgreSQLに接続する

LINQ to SQLでPostgreSQLに接続するサンプルです。「dotConnect for PostgreSQL」と「DbLinq」というライブラリを使用します。 dotConnect for PostgreSQL 「dotConnect for PostgreSQL」についてはこちらを参照してください。 PostgreSQLで型付きデータセッ…