Architect's Log

I'm a Cloud Architect. I'm highly motivated to reduce toils with driving DevOps.

1.2.1 計算の法則(その1)

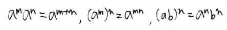
指数法則

指数演算には以下の指数法則が成り立つ。

特に以下を約束する。

パスカルの三角形

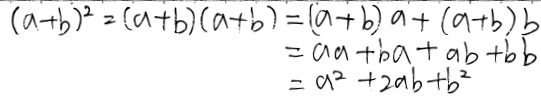
上記の法則を用いて、aとbの和の二乗を計算すると、

同様にして、三乗を求めると、

これを繰り返して、

これら一連の計算を二項展開といい、各項の係数を二項係数と呼ぶ。
係数の部分だけを取り出して並べると以下のようになる。これをパスカルの三角形と呼ぶ。

パスカルの三角形は以下の特徴を持つ。

  • 展開の各項において、aの指数とbの指数の和は、nに等しい。
  • 図は左右対称である。
  • 線で結ばれた上段の二数の和が下段の数になる。
  • 両端からひとつ内側の数が、それぞれの段のnに一致する。